Thép hình V (thép V) là một loại thép có cấu trúc đặc biệt. Nó được tạo ra bằng cách uốn một tấm thép thành một góc 90 độ. Điểm nổi bật của loại thép này là mặt cắt có hình chữ "V". Điều này giúp thép có khả năng chống uốn tốt theo chiều dài. Nhờ cấu trúc góc vuông kết hợp với vật liệu thép, thép hình V có độ bền và ổn định cao.
Vì vậy, nó được sử dụng rộng rãi trong nhiều ứng dụng kỹ thuật. Chúng ta hãy cùng Phế liệu Hoàng Ngọc Diệp tìm hiểu kỹ hơn về loại thép này trong ngành công nghiệp kim loại và xây dựng.
Thép hình chữ V là gì?
Thép hình V (V-beam hay thép góc V), là loại thép có hình dạng giống chữ V in hoa. Thép này thường được phân loại thành thép đen và thép mạ kẽm nhúng nóng. Nó có nhiều kích thước khác nhau như V50, V60, V63, V70, V80, V90, V100, V120, V130. Các kích thước này phục vụ cho nhiều mục đích và vị trí sử dụng khác nhau.
Thép hình V có nhiều ưu điểm như độ bền, độ cứng, khả năng chịu lực cao và chịu được rung động mạnh. Loại thép này cũng có khả năng chống lại các yếu tố môi trường như nhiệt độ, độ ẩm và hóa chất.

Thép hình V được ứng dụng rộng rãi trong nhiều lĩnh vực. Ví dụ như xây dựng dân dụng, nhà thép tiền chế, thùng xe, bàn ghế, khung sườn xe, tháp ăng ten, cột điện cao thế, trang trí, mái che, thanh trượt, đường ray, lan can và các loại hàng gia dụng. Điều này thể hiện tính linh hoạt và ứng dụng cao của sản phẩm.
Xem thêm:
- Thép hình U là gì? Ưu điểm, quy cách và bảng giá mới nhất
- Thép hình I là gì? Phân loại, ứng dụng và bảng giá
- Thép hình H là gì? Quy cách và bảng giá thép H mới nhất
- Thép hình C là gì? Ưu điểm, phân loại và bảng giá mới nhất
Tiêu chuẩn thép hình V
Thép hình chữ V cần phải đáp ứng các tiêu chuẩn chất lượng trong nước và quốc tế. Dưới đây là các tiêu chuẩn cụ thể:
| MÁC THÉP | A36, SS400, Q235B, S235JR, GR.A và GR.B |
| TIÊU CHUẨN | TCVN ,EN10025-2, KD S3503, GB/T 700, A131, ASTM, JIS G3101 |
| XUẤT XỨ | Việt Nam – Đài Loan – Thái Lan – Trung Quốc – Nhật Bản – Hàn Quốc |
| QUY CÁCH | Dày: 3.0mm – 24mm |
| Dài: 6000 – 12000mm |

Đặc tính kỹ thuật
| Mác thép | THÀNH PHẦN HÓA HỌC ( %) | |||||||
| Ctối đa | Si tối đa | Mn tối đa | Ptối đa | Stối đa | Nitối đa | Crtối đa | cumax | |
| A36 | 0.27 | 0.15-0.40 | 1.20 | 0.040 | 0.050 | 0.20 | ||
| SS400 | 0.050 | 0.050 | ||||||
| Q235B | 0.22 | 0.35 | 1.40 | 0.045 | 0.045 | 0.30 | 0.30 | 0.30 |
| S235JR | 0.22 | 0.55 | 1.60 | 0.050 | 0.050 | |||
| GR.A | 0.21 | 0.50 | 2.5XC | 0.035 | 0.035 | |||
| GR.B | 0.21 | 0.35 | 0.80 | 0.035 | 0.035 | |||

Đặc tính cơ lý
| Mác thép | ĐẶC TÍNH CƠ LÝ | |||
| Nhiệt độ (C) | YSMpa | TSMpa | %_ | |
| A36 | ≥245 | 400-550 | 20 | |
| SS400 | ≥245 | 400-510 | 21 | |
| Q235B | ≥235 | 370-500 | 26 | |
| S235JR | ≥235 | 360-510 | 26 | |
| GR.A | 20 | ≥235 | 400-520 | 22 |
| GR.B | 0 | ≥235 | 400-520 | 22 |
Xem thêm:
- Thu mua phế liệu đồng giá tốt nhất hiện nay
- Thu mua phế liệu nhôm giá tốt nhất hiện nay
- Thu mua phế liệu sắt thép giá tốt nhất hiện nay
- Thu mua phế liệu nhựa giá tốt nhất hiện nay
- Thu mua phế liệu inox giá tốt nhất hiện nay
Phân loại thép hình chữ V
Thép hình chữ V được chia thành các loại dựa trên cách xử lý bề mặt:
Sắt V
Sắt V không được xử lý bề mặt, giữ nguyên màu đen của phôi thép. Thép V đen có giá thành thấp. Nó thường được dùng trong xây dựng dân dụng, chế tạo đồ nội thất, làm khung và giá đỡ cho thiết bị.

Thép hình V inox
Thép hình V inox được đánh giá cao bởi các chuyên gia xây dựng nhờ các tính năng vượt trội. Sản phẩm này có khả năng chống ăn mòn, chịu nhiệt tốt và dễ gia công. Bề mặt sáng bóng của thép inox giúp việc vệ sinh dễ dàng hơn.
Thông số kỹ thuật của thép hình V inox thường như sau:
- Kích thước cạnh: 30 - 300mm
- Chiều dài: 6000 - 12000mm
- Độ dày: 1.5 - 10mm

Thép hình V inox được sử dụng rộng rãi trong:
- Khung nhà xưởng
- Cầu đường
- Kết cấu nhà tiền chế
- Cơ khí và chế tạo máy
- Xây dựng dân dụng
Thép hình V mạ kẽm điện phân
Thép hình V mạ kẽm điện phân có lớp kẽm mỏng, dày khoảng 20-30 μm. Bề mặt của loại thép này sáng bóng và mịn hơn so với mạ kẽm nhúng nóng.

Thép hình V mạ kẽm nhúng nóng
Thép hình V mạ kẽm nhúng nóng có lớp mạ kẽm dày 70-90 μm, phủ kín bề mặt. Lớp mạ này bảo vệ thép khỏi ăn mòn do oxy hóa.

Thép hình V lỗ
Thép hình V lỗ, còn gọi là thép V lỗ đa năng, có nhiều lỗ trên bề mặt. Nó được dùng để lắp ráp các loại kệ như kệ sách, kệ hồ sơ, kệ siêu thị, kệ chứa hàng hóa và nhiều ứng dụng khác.
Các lỗ trên thép được đúc đều, chính xác, giúp việc lắp ráp dễ dàng. Thép V lỗ có độ dày và kích thước cạnh chính xác.
Kích thước thông dụng của thép V lỗ:
- Chiều dài: 2m, 2m4, 3m
- Độ dày: 1.5ly, 1.8ly, 2ly

Quy trình sản xuất thép V lỗ đa năng:
- Cắt băng: Cắt thép hình V theo quy cách.
- Dập lỗ: Dập các lỗ đều trên thanh thép V.
- Chấn thành hình V.
- Tẩy rỉ: Làm sạch bề mặt thép.
- Sơn tĩnh điện.
Kích thước phổ biến của thép V lỗ: V 30 x 30, V 40 x 40, V 30 x 50, V 40 x 60, V 40 x 80.
Quy cách thép hình chữ V
Quy cách của thép hình V bao gồm các tiêu chí quan trọng như kích thước, khối lượng, độ dày và các đặc tính hình học.
Chiều dài của cây thép V
Theo tiêu chuẩn TCVN, chiều dài của cây thép V có thể là: 6, 7, 8, 9, 10, 11, 12, 13, 14, 15 (m). Trong thực tế:
- Thép V từ V2 đến V8 thường dài 6m.
- Thép V từ V8 trở lên thường dài 12m.

Nếu cần kích thước khác, nhà sản xuất có thể làm theo thỏa thuận riêng. Một số loại sắt V không sản xuất trong nước cần phải nhập khẩu.
Trọng lượng, kích thước của thép chữ V
Trọng lượng, kích thước và đặc trưng mặt cắt của thép hình V rất quan trọng. Dưới đây là ý nghĩa của từng thông số:
- A và B: Độ rộng của các cạnh thép V, A = B.
- t: Độ dày của cạnh thép V.
- r1 và r2: Bán kính của các góc lượn trong và ngoài.
- Cx và Cy: Khoảng cách từ trọng tâm mặt cắt đến các cạnh thép V.
- ix và iy: Bán kính quán tính của mặt cắt theo hai trục x và y.
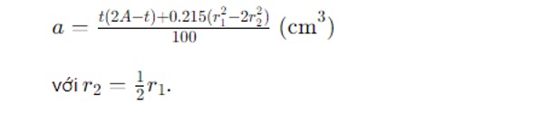
Cách tính trọng lượng thép hình V
Để tính trọng lượng trên 1m dài của thép hình V, ta dùng công thức:
P(kg/m)=0.785×Diện tích mặt cắt ngang
Diện tích mặt cắt ngang (a) được tính theo công thức:

Ví dụ: Tính trọng lượng 1m dài của thép V 50x50x4:

=0.785×3.892675=3.055749875 (kg/m)
Vậy, trọng lượng 1m dài của thép V 50x 50x 4 là khoảng 3.06 kg. Bạn có thể tham khảo bảng trọng lượng thép hình V dưới đây.
Bảng tra thép hình chữ V – Trọng lượng, Quy cách
| Số TT | Mô Tả Quy Cách Sản Phẩm | Chiều dài | kg/m | kg/cây |
| 1 | V 25x 25x 2,5ly | 6 | 0.92 | 5.5 |
| 2 | V 25x 25x 3ly | 6 | 1.12 | 6.7 |
| 3 | V 30x 30x 2.0ly | 6 | 0.83 | 5.0 |
| 4 | V 30x 30x 2,5ly | 6 | 0.92 | 5.5 |
| 5 | V 30x 30x 3ly | 6 | 1.25 | 7.5 |
| 6 | V 30x 30x 3ly | 6 | 1.36 | 8.2 |
| 7 | V 40x 40x 2ly | 6 | 1.25 | 7.5 |
| 8 | V 40x 40x 2,5ly | 6 | 1.42 | 8.5 |
| 9 | V 40x 40x 3ly | 6 | 1.67 | 10.0 |
| 10 | V 40x 40x 3.5ly | 6 | 1.92 | 11.5 |
| 11 | V 40x 40x 4ly | 6 | 2.08 | 12.5 |
| 12 | V 40x 40x 5ly | 6 | 2.95 | 17.7 |
| 13 | V 45x 45x 4ly | 6 | 2.74 | 16.4 |
| 14 | V 45x 45x 5ly | 6 | 3.38 | 20.3 |
| 15 | V 50x 50x 3ly | 6 | 2.17 | 13.0 |
| 16 | V 50x 50x 3,5ly | 6 | 2.50 | 15.0 |
| 17 | V 50x 50x 4ly | 6 | 2.83 | 17.0 |
| 18 | V 50x 50x 4,5ly | 6 | 3.17 | 19.0 |
| 19 | V 50x 50x 5ly | 6 | 3.67 | 22.0 |
| 20 | V 60x 60x 4ly | 6 | 3.68 | 22.1 |
| 21 | V 60x 60x 5ly | 6 | 4.55 | 27.3 |
| 22 | V 60x 60x 6ly | 6 | 5.37 | 32.2 |
| 23 | V 63x 63x 4ly | 6 | 3.58 | 21.5 |
| 24 | V 63x 63x 5ly | 6 | 4.50 | 27.0 |
| 25 | V 63x 63x 6ly | 6 | 4.75 | 28.5 |
| 26 | V 65x 65x 5ly | 6 | 5.00 | 30.0 |
| 27 | V 65x 65x 6ly | 6 | 5.91 | 35.5 |
| 28 | V 65x 65x 8ly | 6 | 7.66 | 46.0 |
| 29 | V 70x 70x 5.0ly | 6 | 5.17 | 31.0 |
| 30 | V 70x 70x 6.0ly | 6 | 6.83 | 41.0 |
| 31 | V 70x 70x 7ly | 6 | 7.38 | 44.3 |
| 32 | V 75x 75x 4.0ly | 6 | 5.25 | 31.5 |
| 33 | V 75x 75x 5.0ly | 6 | 5.67 | 34.0 |
| 34 | V 75x 75x 6.0ly | 6 | 6.25 | 37.5 |
| 35 | V 75x 75x 7.0ly | 6 | 6.83 | 41.0 |
| 36 | V 75x 75x 8.0ly | 6 | 8.67 | 52.0 |
| 37 | V 75x 75x 9ly | 6 | 9.96 | 59.8 |
| 38 | V 75x 75x 12ly | 6 | 13.00 | 78.0 |
| 39 | V 80x 80x 6.0ly | 6 | 6.83 | 41.0 |
| 40 | V 80x 80x 7.0ly | 6 | 8.00 | 48.0 |
| 41 | V 80x 80x 8.0ly | 6 | 9.50 | 57.0 |
| 42 | V 90x 90x 6ly | 6 | 8.28 | 49.7 |
| 43 | V 90x 90x 7,0ly | 6 | 9.50 | 57.0 |
| 44 | V 90x 90x 8,0ly | 6 | 12.00 | 72.0 |
| 45 | V 90x 90x 9ly | 6 | 12.10 | 72.6 |
| 46 | V 90x 90x 10ly | 6 | 13.30 | 79.8 |
| 47 | V 90x 90x 13ly | 6 | 17.00 | 102.0 |
| 48 | V 100x 100x 7ly | 6 | 10.48 | 62.9 |
| 49 | V 100x 100x 8,0ly | 6 | 12.00 | 72.0 |
| 50 | V 100x 100x 9,0ly | 6 | 13.00 | 78.0 |
| 51 | V 100x 100x 10,0ly | 6 | 15.00 | 90.0 |
| 52 | V 100x 100x 12ly | 6 | 10.67 | 64.0 |
| 53 | V 100x 100x 13ly | 6 | 19.10 | 114.6 |
| 54 | V 120x 120x 8ly | 6 | 14.70 | 88.2 |
| 55 | V 120x 120x 10ly | 6 | 18.17 | 109.0 |
| 56 | V 120x 120x 12ly | 6 | 21.67 | 130.0 |
| 57 | V 120x 120x 15ly | 6 | 21.60 | 129.6 |
| 58 | V 120x 120x 18ly | 6 | 26.70 | 160.2 |
| 59 | V 130x 130x 9ly | 6 | 17.90 | 107.4 |
| 60 | V 130x 130x 10ly | 6 | 19.17 | 115.0 |
| 61 | V 130x 130x 12ly | 6 | 23.50 | 141.0 |
| 62 | V 130x 130x 15ly | 6 | 28.80 | 172.8 |
| 63 | V 150x 150x 10ly | 6 | 22.92 | 137.5 |
| 64 | V 150x 150x 12ly | 6 | 27.17 | 163.0 |
| 65 | V 150x 150x 15ly | 6 | 33.58 | 201.5 |
| 66 | V 150x 150x 18ly | 6 | 39.8 | 238.8 |
| 67 | V 150x 150x 19ly | 6 | 41.9 | 251.4 |
| 68 | V 150x 150x 20ly | 6 | 44 | 264 |
| 69 | V 175x 175x 12ly | 6 | 31.8 | 190.8 |
| 70 | V 175x 175x 15ly | 6 | 39.4 | 236.4 |
| 71 | V 200x 200x 15ly | 6 | 45.3 | 271.8 |
| 72 | V 200x 200x 16ly | 6 | 48.2 | 289.2 |
| 73 | V 200x 200x 18ly | 6 | 54 | 324 |
| 74 | V 200x 200x 20ly | 6 | 59.7 | 358.2 |
| 75 | V 200x 200x 24ly | 6 | 70.8 | 424.8 |
| 76 | V 200x 200x 25ly | 6 | 73.6 | 441.6 |
| 77 | V 200x 200x 26ly | 6 | 76.3 | 457.8 |
| 78 | V 250x 250x 25ly | 6 | 93.7 | 562.2 |
| 79 | V 250x 250x 35ly | 6 | 128 | 768 |
Giá bán thép hình chữ V mới nhất hiện nay
Bảng giá chỉ có giá trị tham khảo
| Standard Sectional Dimension (mm) | Unit Mass (kg/m) | Giá | |
| A | t | ||
| V 50×50 (V5) | 4 | 3.06 | Liên hệ |
| 5 | 3.77 | ||
| 6 | 4.43 | ||
| V 60×60 (V6) | 5 | 4.57 | |
| 6 | 5.42 | ||
| V 63×63 | 5 | 4.81 | |
| 6 | 5.73 | ||
| V 65×65 | 5 | 4.97 | |
| 6 | 5.91 | ||
| 7 | 6.76 | ||
| 8 | 7.73 | ||
| V 70×70 | 5 | 5.37 | |
| 6 | 6.38 | ||
| 7 | 7.38 | ||
| 8 | 8.38 | ||
| V 75×75 | 5 | 5.80 | |
| 6 | 6.85 | ||
| 7 | 7.90 | ||
| 8 | 8.99 | ||
| V 80×80 | 6 | 7.32 | |
| 7 | 8.51 | ||
| 8 | 9.63 | ||
| V 90×90 | 6 | 8.28 | |
| 7 | 9.61 | ||
| 8 | 10.90 | ||
| 9 | 12.20 | ||
| 10 | 13.30 | ||
| V 100×100 | 7 | 10.70 | |
| 8 | 12.20 | ||
| 9 | 13.70 | ||
| 10 | 14.90 | ||
| 12 | 17.80 | ||
| V 120×120 | 8 | 14.70 | |
| 10 | 18.20 | ||
| 12 | 21.60 | ||
| V 130×130 | 9 | 17.90 | |
| 10 | 19.70 | ||
| 12 | 23.40 | ||
| V 150×150 | 10 | 23.00 | |
| 12 | 27.30 | ||
| 15 | 33.80 | ||
| V 175×175 | 12 | 31.80 | |
| 15 | 39.40 | ||
| V 200×200 | 15 | 45.30 | |
| 20 | 59.70 | ||
| 25 | 73.60 | ||
Ứng dụng của thép hình V
Gia cố kết cấu trong xây dựng
Thép hình V thường được dùng để làm khung, giằng, vì kèo, dầm chịu lực trong các công trình nhà xưởng, nhà tiền chế, nhà dân dụng, cầu đường. Hình dạng chữ V giúp phân tán lực và ổn định cấu trúc hiệu quả.
Làm thanh giằng, khung đỡ
Trong các kết cấu khung thép hoặc giàn giáo, thép V đóng vai trò như thanh giằng chéo. Giúp giữ vững cấu trúc trước các tác động ngang như gió hoặc rung chấn.
Cơ khí và chế tạo máy
Thép V được ứng dụng nhiều trong chế tạo khung máy, vỏ thiết bị, giá đỡ hoặc các chi tiết cơ khí cần độ cứng cao và chịu va đập tốt. Nhờ khả năng dễ hàn, cắt và tạo hình, thép V rất phù hợp cho ngành cơ khí chế tạo.

Kết cấu cầu cảng, container, xe tải
Với khả năng chịu tải và chống ăn mòn tốt (đặc biệt với thép V mạ kẽm), loại thép này thường dùng trong các kết cấu chịu lực nặng như khung container, sườn xe tải, sàn kho bãi, cầu cảng và kết cấu ngoài trời.
Làm lan can, hàng rào, thang máy
Trong dân dụng và trang trí nội thất, thép hình V còn được dùng để làm lan can, cột hàng rào, giá đỡ thang máy hoặc các khung kim loại trang trí nhờ tính thẩm mỹ và độ bền cao.
Gợi ý nội dung khác:
- Thép xây dựng là gì? Phân loại, ưu điểm và bảng giá
- Thép công nghiệp là gì? Phân loại, ưu nhược điểm và bảng giá
- Thép hộp mạ kẽm là gì? Bảng giá và quy cách thép hộp mã kẽm
- Thép tấm là gì? Ứng dụng, phân loại và bảng giá của thép tấm
Lời kết
Thép hình V không chỉ là vật liệu xây dựng thông thường, mà còn là giải pháp đa dạng cho nhiều ứng dụng. Nhờ các đặc tính như độ bền, chống ăn mòn và tính linh hoạt. Thép V là lựa chọn hàng đầu trong xây dựng, cơ khí và nhiều lĩnh vực khác.
Hiểu rõ về tiêu chuẩn, quy cách sản phẩm và cách tính toán trọng lượng sẽ giúp bạn tận dụng tối đa tiềm năng của thép hình chữ V để tạo ra các công trình đẹp, bền vững và tiết kiệm chi phí. Hy vọng qua bài viết trên của phế liệu Hoàng Ngọc Diệp, sẽ giúp quý độc giả có thêm kiến thức hữu ích.
Xem thêm:
- Thu mua phế liệu kẽm giá tốt nhất hiện nay
- Thu mua phế liệu hợp kim giá tốt nhất hiện nay
- Thu mua phế liệu chì giá tốt nhất hiện nay
- Thu mua phế liệu thiếc giá tốt nhất hiện nay
- Thu mua phế liệu niken giá tốt nhất hiện nay
CÔNG TY TNHH XUẤT NHẬP KHẨU HOÀNG NGỌC DIỆP

